Horowitz: FDA responds to negative efficacy of variant boosters with another variant booster
The human experimentation of Operation Warp Speed was not an anomaly; it is the new normal, and the FDA is just getting started. The agency is now allowing the COVID vaccine manufacturers to change the formulation of their shots to continue to chase variants, themselves created by antigenic drift of the shots. And they continue to do so based on nothing more than measuring antibody titer levels. No human clinical trials necessary! Except, studies now show, and reality confirms, the more they chase variants, the more they create negative efficacy against the existing variant, thereby engendering a “need” for another formulation.
What was the response of the FDA to the increasing news of cataclysmic injuries and negative efficacy of the COVID shots for variants that are no longer dangerous? Last Thursday, the FDA’s VRBPAC unanimously approved a fall booster, advising Pfizer, Moderna, and Novavax to update their formulations for the so-called XBB.1.5 Omicron variant. So, officials pre-emptively approved a shot that doesn’t exist based on antibody level testing without human trials – all for a variant that not only is not dangerous but will actually be extinct by the time this poison reaches the market, just as they did with the bivalent formulation for the BA.4 and BA.4 variants.
To this day, the bivalent shot is the only one available, and according to the CDC, that variant doesn’t even exist! It is true that very few people are dumb enough to get this shot, but what they are trying to do is create an endemic schedule of COVID shots to time perfectly with the flu shots in the fall. They have already groomed people over the generation to “get their flu shot” every fall. So now the pharmacies will be waiting with the COVID needle to complete their seasonal updates.
So, what happens when you keep tricking the body to respond to a virus for strains that no longer exist? As the FDA approved these shots, the agency already had the peer-reviewed Cleveland Clinic study showing negative efficacy of the original COVID shots. Just days before this meeting, the Cleveland Clinic came out with a preprint showing negative efficacy for the bivalent booster shots too.
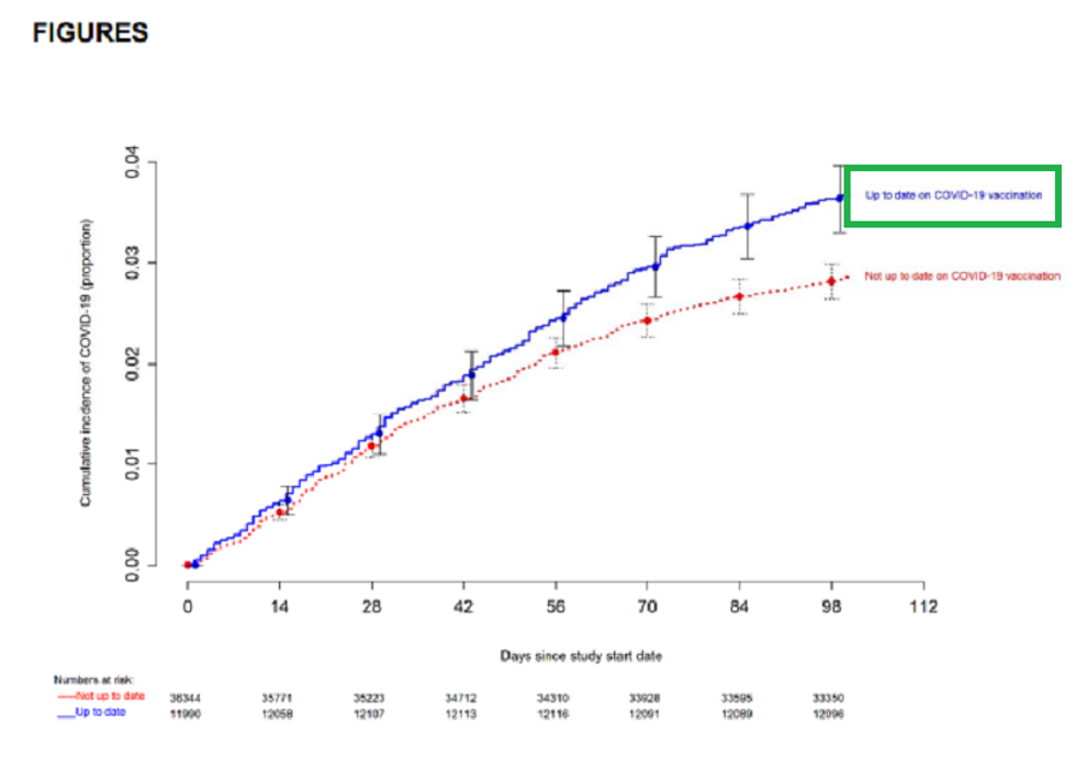
The study contrasted 11,990 employees of this venerable institution who chose to be “up to date” with the bivalent boosters compared to 36,344 employees who were “not up to date” and tracked their outcomes. It turns out that after about three and a half months, you were about 25% more likely to get COVID after having gotten the boosters as compared to the control group.
After adjusting for confounding factors between the groups, the study authors actually found a 33% rate of negative efficacy!
“This study’s findings question the wisdom of promoting the idea that every person needs to be ‘up-to-date’ on COVID-19 vaccination, as currently defined, at this time,” conclude the Cleveland Clinic researchers. They also observe, “It should be pointed out that there is not a single study that has shown that the COVID-19 bivalent vaccine protects against severe disease or death caused by the XBB lineages of the Omicron variant.”
The push for boosters comes at a time when more evidence proves a strong correlation between excess deaths and the vaccine take-up. A letter published in a peer-reviewed journal of Medicine and Clinical Science shows that Japan and German, two highly vaccinated countries, experienced sharp excess deaths coinciding with the vaccine take-up. They found very little excess death during the pandemic months before the vaccine was rolled out.
“It should be investigated to what extent the about 5%-10% highly significantly increased mortalities in Germany and Japan in 2021 and 2022 might be due to the pandemic countermeasures, including the vaccinations with their possibly underestimated immediate or protracted side effects,” concluded the researchers from Japan and Germany.
“From this point of view, it seems possible that a high vaccination rate has contributed to an increased all-cause mortality in some countries.”
The twisted irony is that, according to the CDC’s variant tracker, XBB.1.5 has gone from 80% of cases to less than 40% of cases in just a few months. It will clearly be obsolete by the fall. None of this was discussed at the FDA hearing. Of course, nothing about Pfizer’s own document showing five million cumulative reports of adverse events affecting every organ system was ever discussed. Hence, we have record injuries, negative efficacy, long-term immune imprinting causing the body to constantly respond inappropriately to wrong strains of the virus – all for a virus that is no longer deadly and for a population that has already gotten the virus!
That’s not just a lousy cost-benefit analysis; that is premeditated murder against the American people. What is the GOP plan to stop this? Or do Republicans even care? How can they continue to fund more COVID shots in the HHS appropriations bill, much less the broader FDA/CDC scheme to create new dangerous shots at warp speed?
Just how callously does the FDA regard human life? After its own VAERS system exploded with every adverse event imaginable, an outcome we now know officials anticipated, to this day they have not followed up on those safety signals. For example, according to the Informed Consent Action Network, the Standard Operating Procedures and Policies document for the FDA’s Vaccine Safety Team requires that its staff members identify VAERS adverse event reports that “need a rapid response and complex coordination,” after which they are supposed to “immediately” inform certain FDA management, who then alert other sub-agencies. Did that occur?
Well, more than a year after the ICAN’s record request, the agency responded, “A search of our records did not locate any documents responsive to your request.”
Where is the action from the House GOP? Why are they still only investigating the shutdown of schools in the past, but not the ongoing, premediated unleashing of deadly products on the American people?